金羊网

广州市管民办学校年检结果公示,哪些学校合格?

金羊网 2025-10-10

日前,广州市教育局发布《关于2024年度市管民办学校年度检查结论公示的通告》(以下简称“通告”)

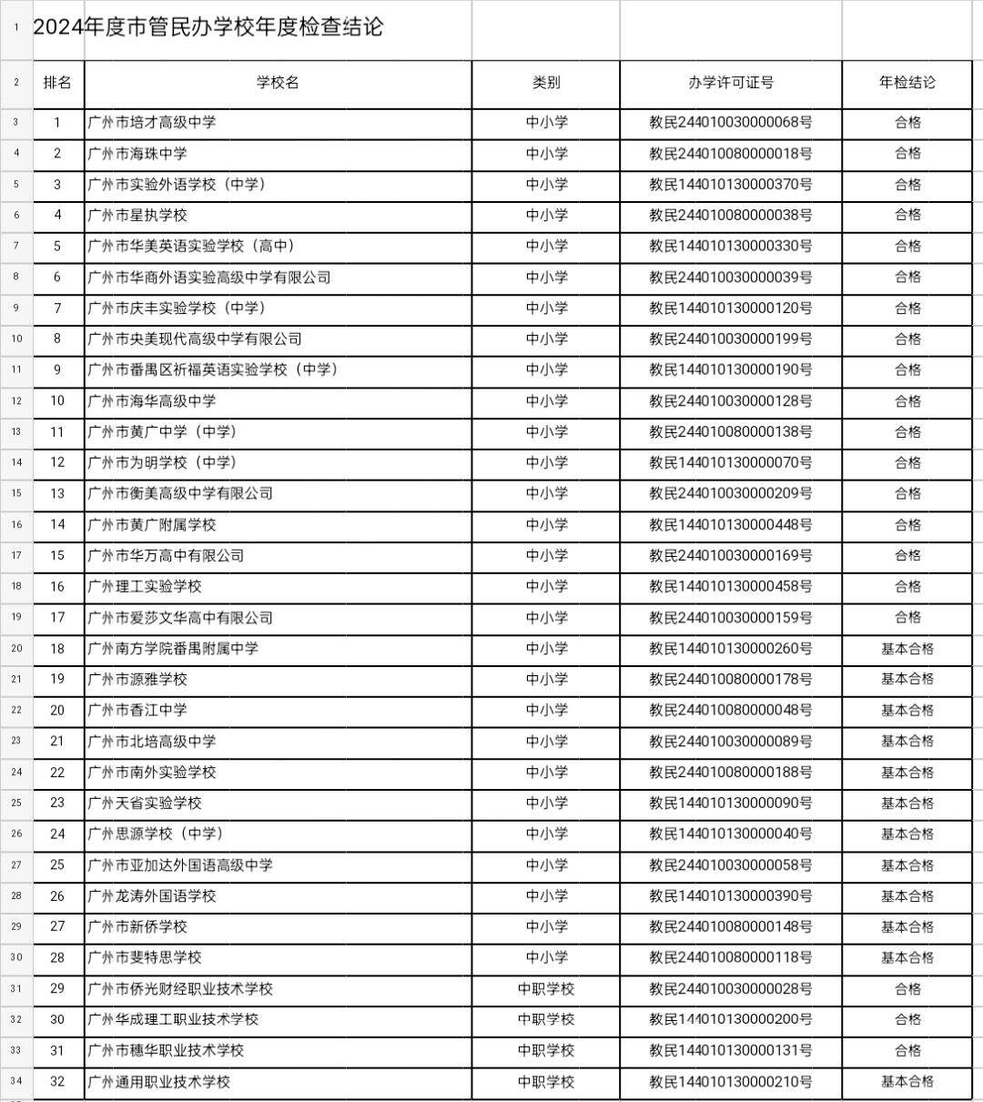
通告公布了32所市管民办学校2024年年度检查结论。记者梳理发现,这32所市管民办学校中,有28所中小学民办学校,4所民办中职学校;2025年广州中考招生的民办普高约31所,公示的28所民办中小学校的高中部基本都属于中考招生的民办普高。

值得注意的是,12所学校的年检结果显示“基本合格”,其他学校显示“合格”。

公示时间为2025年9月30日至2025年10月14日,公示期内对年度检查结果如有异议,请以书面材料或电子邮件的形式向广州市教育局反映。反映情况的书面材料或电子邮件要签署真实姓名,并提供联系电话和通信地址以方便沟通,否则不予受理。

受理部门及联系方式

受理部门:广州市教育局政策法规与审计处

通讯地址:广州市西湖路83号市教育局

邮政编码:510030

联系电话:22083696

电子邮箱:yinm@gz.gov.cn

文|记者 蒋隽